给你一棵二叉搜索树的 root ,请你 按中序遍历 将其重新排列为一棵递增顺序搜索树,使树中最左边的节点成为树的根节点,并且每个节点没有左子节点,只有一个右子节点。
示例 1:
输入:root = [5,3,6,2,4,null,8,1,null,null,null,7,9]
输出:[1,null,2,null,3,null,4,null,5,null,6,null,7,null,8,null,9]
示例 2:
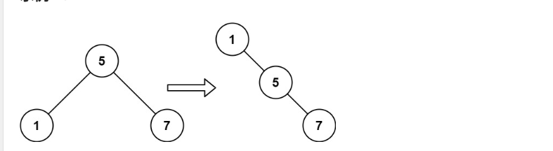
输入:root = [5,1,7]
输出:[1,null,5,null,7]
提示:
树中节点数的取值范围是 [1, 100]
0 <= Node.val <= 1000
/**
* Definition for a binary tree node.
* struct TreeNode {
* int val;
* struct TreeNode *left;
* struct TreeNode *right;
* };
*/
void inorder(struct TreeNode* Node,struct TreeNode** vec,int* len){
if(!node){
return;
}
inorder(node->left,vec,len);
vec[*len] = node;
*len+=1;
inorder(node->right,vec,len);
}
struct TreeNode* increasingBST(struct TreeNode* root) {
struct TreeNode** vec = malloc(sizeof(struct TreeNode*)* 101);
int len = 0;
inorder(root,vec,&len);
struct TreeNode dummy,*p = &dummy;
int i = 0;
for(i = 0;i<len;i++){
p->left = NULL;
p->right = vec[i];
p=p->right;
}
p->left = p->right=NULL;
return dummy.right;
}