给定一个非空特殊的二叉树,每个节点都是正数,并且每个节点的子节点数量只能为 2 或 0。如果一个节点有两个子节点的话,那么该节点的值等于两个子节点中较小的一个。
更正式地说,即 root.val = min(root.left.val, root.right.val) 总成立。
给出这样的一个二叉树,你需要输出所有节点中的 第二小的值 。
如果第二小的值不存在的话,输出 -1 。
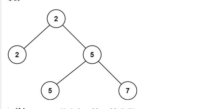
示例 1:
输入:root = [2,2,5,null,null,5,7]
输出:5
解释:最小的值是 2 ,第二小的值是 5 。
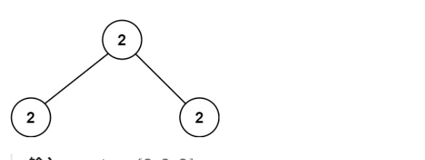
示例 2:
输入:root = [2,2,2]
输出:-1
解释:最小的值是 2, 但是不存在第二小的值。
#define __min(a,b) (((a) < (b)) ? (a) : (b))
int findSecondMinimumValue(struct TreeNode* root){
int left,right;
if(!root->left){return -1;}
if(root->val == (left=root->left->val) ){
left=findSecondMinimumValue(root->left);
}
if(root->val == (right=root->right->val) ){
right=findSecondMinimumValue(root->right);
}
return (int) __min((unsigned )left,(unsigned )right);
}
