给定二叉搜索树(BST)的根节点 root 和一个整数值 val。
你需要在 BST 中找到节点值等于 val 的节点。 返回以该节点为根的子树。 如果节点不存在,则返回 null 。
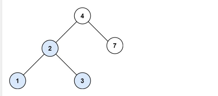
示例 1:

输入:root = [4,2,7,1,3], val = 2
输出:[2,1,3]
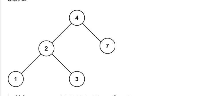
示例 2:
输入:root = [4,2,7,1,3], val = 5
输出:[]
上代码
struct TreeNode* searchBST(struct TreeNode* root, int val){
if(root == NULL)
return NULL;
if(root->val == val)
return root;
if(root->val < val)
return searchBST(root->right, val);
else
return searchBST(root->left, val);
}
返回的是treenode的结构体 ~~~