给你两棵二叉树: root1 和 root2 。
想象一下,当你将其中一棵覆盖到另一棵之上时,两棵树上的一些节点将会重叠(而另一些不会)。你需要将这两棵树合并成一棵新二叉树。合并的规则是:如果两个节点重叠,那么将这两个节点的值相加作为合并后节点的新值;否则,不为 null 的节点将直接作为新二叉树的节点。
返回合并后的二叉树。
注意: 合并过程必须从两个树的根节点开始。
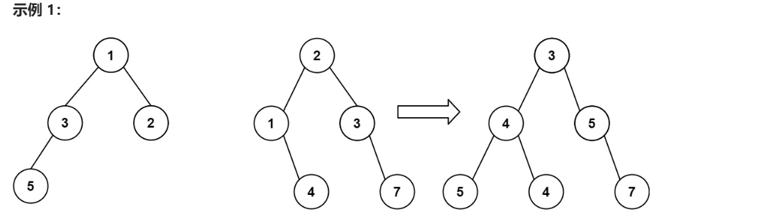
输入:root1 = [1,3,2,5], root2 = [2,1,3,null,4,null,7]
输出:[3,4,5,5,4,null,7]
示例 2:
输入:root1 = [1], root2 = [1,2]
输出:[2,2]
直接上代码
struct TreeNode* mergeTrees(struct TreeNode* root1, struct TreeNode* root2) {
if(root1 == NULL){
return root1;
}
if(root2 == NULL){
return root2;
}
struct TreeNode* Node = malloc(sizeof(struct TreeNode));
node->val = root1->val1 + root2 ->val2;
node->left = mergeTrees(root1->left,root2->left);
node->right = mergeTrees(root1->right,root2->right);
} return node;简单递归,没有什么难度